Il Bignami della Firma digitale

di
Pierluigi Ridolfi

Riferimenti giuridici

Nel nostro sistema giuridico, la firma digitale viene definita per la prima volta nel DPR 10 novembre 1997 n 513, che disciplina "la formazione, l'archiviazione e la trasmissione di documenti con strumenti informatici e telematici". Lo stesso DPR fa esplicito riferimento a sistemi di chiavi asimmetriche a coppia per la generazione e la verifica della firma digitale.

Le regole tecniche perla "formazione, la trasmissione, la conservazione, la duplicazione, la riproduzione e la validazione, anche temporale, dei documenti informatici" sono descritte nel DPCM 8 febbraio 1999, che stabilisce tra l'altro quali algoritmi possono essere utilizzati per la generazione e le verifiche delle firme digitali. Lo stesso DPCM definisce l'impronta, ne disciplina l'uso ai fini della generazione della firma digitale e stabilisce quali algoritmi possono essere utilizzati, dato un documento, per ricavarne l'impronta.

Sistemi asimmetrici

I sistemi di codifica asimmetrici si basano su metodi matematici che richiedono chiavi diverse per la codifica e per la decodifica di un messaggio o di un documento (simbolo m). Ad ogni persona viene assegnata una coppia di chiavi, delle quali una è pubblica, teoricamente nota a tutti (simbolo h), l'altra è segreta, nota solo all'interessato (simbolo j).La coppia di chiavi (h, j) è unica per ogni persona. Una delle due chiavi serve per codificare il messaggio, l'altra per decodificarlo. La chiave pubblica h consiste in un numero estremamente grande, rappresentato in cifre binarie da 1024 bit: esso è il prodotto di due numeri primi. L'algoritmo che consentirebbe di risalire alla chiave privata j nota quella pubblica h richiede la conoscenza dei fattori di h, cioè dei suddetti due numeri primi. Non esistono metodi matematici diretti per scomporre h nei suoi fattori: si può procedere solo per tentativi, ma questo richiederebbe, date le dimensioni dei numeri in gioco, tempi misurabili in secoli. Risulta pertanto praticamente impossibile risalire a j nota h. Su questo principio si basa l'invulnerabilità dei sistemi di codifica asimmetrici.

Nell'ambito degli algoritmi previsti dalle norme, esistono diversi processi informatici per la generazione delle chiavi, la codifica e la decodifica dei messaggi: possono comunicate fra loro senza problemi solo quelle persone che utilizzano lo stesso processo informatico. Se i processi sono diversi, possono nascere problemi di compatibilità.

Riservatezza (v. tav. 1)

A è il mittente di un messaggio m, B ne è il destinatario. Se A vuole che m venga letto solo da B, lo codifica con la chiave pubblica di B (hB) ottenendo m'. B, e solo B, potrà decodificare m' con la propria chiave privata (jB) riottenendo m.

tav1
Tav 1 - Processo per ottenere la garanzia della Riservatezza

Autenticità (v. tav. 2)

Se A vuole garantire a B che il messaggio m proviene veramente da A, prima di inviarlo a B lo codifica con la propria chiave privata (jA). B lo decodificherà con la chiave pubblica di A (hA). Se il messaggio risulterà leggibile significa che il procedimento ha funzionato: pertanto A è veramente il mittente.

tav2
Tav 2 - Processo per ottenere la garanzia dell'Autenticità

Riservatezza e Autenticità (v. tav. 3)

Se A vuole garantire la riservatezza del messaggio m e contemporaneamente garantire a B dell'autenticità del mittente, codifica m due volte: prima con la chiave pubblica di B (hB) poi con quella propria privata (jA). B eseguirà le operazioni inverse, cioè decodificherà il messaggio ricevuto m' prima con la propria chiave privata (jB) poi con la chiave pubblica di A (jA).

tav3
Tav 3 - Processo per ottenere la garanzia di Riservatezza e di Autenticità

Impronta (v. tav. 4)

L'impronta (simbolo r) di un documento m consiste in una sequenza di bit, di lunghezza prefissata, che viene ottenuta dal documento mediante precisi algoritmi (chiamati funzioni di hash). Non è possibile data l'impronta r risalire al documento m. Poiché la lunghezza standard di r è di 160 bit, il numero dei documenti con impronta diversa è rappresentato da un 1 seguito da oltre 50 zeri. Si tratta di un numero enorme, di gran lunga superiore al numero dei documenti di qualunque tipo prodotto dall'umanità in tutta la sua storia. La probabilità pertanto che due documenti diversi producano la stessa impronta è praticamente nulla.

tav4
Tav 4 - Processo per ottenere l'impronta di un documento

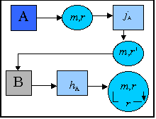
Integrità (v. tav. 5)

Se A vuole garantire a B che il messaggio ricevuto sia identico a quello spedito (pertanto non alterato, per incidente o dolo, nel corso della trasmissione), opera nel modo seguente: calcola l'impronta r di m, codifica r con la propria chiave privata (jA) ottenendo r', invia a B congiuntamente m e r'. B prima di tutto decodifica r' con la chiave pubblica di A (hA), poi calcola in loco l'impronta di m: se questa impronta calcolata coincide con quella decodificata significa che il messaggio m non è stato alterato.

tav5
Tav 5 - Processo per garantire l'integrità di un documento

Certificazione (v. tav. 6)

Il certificatore C è un ente che gestisce un elenco con le chiavi pubbliche di ogni persona. Se per qualunque motivo una persona decide di cambiare la propria chiave pubblica (e di conseguenza cambierà anche quella privata), ne deve dare notizia al certificatore.

B, che ha ricevuto un messaggio da A, se non ne conosce la chiave pubblica si rivolge al Certificatore C che gliela invia. Il fatto stesso che C invii la chiave pubblica di A, rappresenta per B la garanzia che la chiave di A è valida.

tav6
Tav 6 - Processo di Certificazione

Firma digitale "debole" (v. tav. 7)

Essa assicura solo la provenienza del documento, ma non l'integrità del contenuto.

Si tratta sostanzialmente del procedimento già visto nel caso del processo che garantisce l'Autenticità. Va osservato però che nella maggior parte dei casi pratici non interessa codificare l'intero documento: è sufficiente che il mittente A codifichi la propria firma (simbolo f), che è in chiaro (il nome convenzionale della persona: si tratta di un informazione precedentemente depositata da A presso C). La firma f viene codificata con la chiave privata del mittente (jA) ottenendo f'. Al destinatario B vengono inviati congiuntamente il messaggio m, la firma in chiaro f la firma codificata f'.

B si rivolge a C richiedendo la chiave pubblica che corrisponde alla persona di firma f, riceve come risposta hA con la quale decodifica f', ottenendo un valore che confronta con f: se i due valori coincidono significa che il mittente è veramente quello che si firma con f.

tav7
Tav 7 - Schema della Firma digitale "debole"

Firma digitale "forte" (v. tav. 8)

Essa assicura contemporaneamente la provenienza del documento e l'integrità del contenuto.

Il procedimento è quello già visto nel caso del processo che garantisce l'integrità: A ricava l'impronta r del documento m, codifica r con la propria chiave privata ottenendo r', invia a B m, r e r'.

In m, che è in chiaro, figura anche esplicitamente che il mittente "apparente" è A. Con questa informazione B è in grado di richiedere a C il valore della chiave pubblica di A, con la quale decodificare r'. Il valore ottenuto va confrontato con l'impronta di m ricalcolata da B: se c'è coincidenza significa che il documento ricevuto è identico a quello spedito e che la coppia di chiavi che ha gestito il processo di codifica e decodifica è veramente quella di A.

tav8
Tav 8 - Schema della Firma digitale "Forte"



Norme nazionali e direttiva europea

di
Pierluigi Ridolfi

I. La firma digitale in Italia

Il sistema giuridico che disciplina la firma digitale nel nostro Paese è ormai chiaramente strutturato e si articola su quattro pilastri:

  • Una Legge, la n. 59 del 15 marzo 1997 (nota come Bassanini), che all'art.15, comma 2, stabilisce che:
    "Gli atti, dati e i documenti formati dalla pubblica amministrazione e dai privati con strumenti informatici o telematici, i contratti stipulati nelle medesime forme, nonché la loro archiviazione e trasmissione con strumenti informatici sono validi e rilevanti a tutti gli effetti di legge; i criteri di applicazione del presente comma sono stabiliti, per la pubblica amministrazione e per i privati, con specifici regolamenti da emanare entro centottanta giorni dalla data di entrata in vigore della presente legge...".

  • Un Decreto del Presidente della Repubblica, il n. 513 del 10 novembre 1997 pubblicato sulla G.U. del 13 marzo 1998, relativo al "regolamento contenente i criteri e le modalità di applicazione" dell'art. 15, comma 2, della Legge sopra citata. E' in questo DPR che per la prima volta nel nostro ordinamento si parla di firma digitale ("che consente di rendere manifesta e di verificare la provenienza e l'integrità di un documento informatico"), di chiave privata e di chiave pubblica, di certificazione, di Certificatori e di elenco dei Certificatori. All'art. 3, comma 1, viene stabilito che "le regole tecniche per la formazione, la trasmissione, la conservazione, la duplicazione, la riproduzione e la validazione, anche temporale, dei documenti informatici" sono fissate da apposito decreto da emanare entro centottanta giorni dall'entrata in vigore del DPR stesso.

  • Un Decreto del Presidente del Consiglio dei Ministri, datato 8 febbraio 1999 e pubblicato sulla G.U. del 14 aprile, che contiene le regole tecniche sopra citate. In questo DPCM vengono introdotti tra gli altri i concetti di impronta e di funzione di hash; vengono regolamentati gli algoritmi ammessi per la generazione delle firme e per le funzioni di hash; si stabiliscono i livelli minimi di sicurezza informatica; vengono elencati i requisiti per poter diventare Certificatori, rimandando ad apposita circolare dell'Aipa le normative specifiche relative al processo per essere inclusi nell'elenco suddetto.

  • Una Circolare dell'AIPA, pubblicata nel giugno 1999, con la quale vengono dettagliate le modalità con le quali una società possa essere inclusa nell'elenco dei Certificatori. A questa circolare ne farà seguito un'altra per disciplinare la materia nel caso che a svolgere le funzioni di certificazione sia una pubblica amministrazione anziché un ente privato.

  • Ci sono voluti due anni per passare da direttive di tipo generale, enunciate dalla Bassanini, a una normativa precisa. In realtà il quadro si completerà solo verso la fine dell'anno, quando la firma digitale comincerà a diventare operativa, almeno in qualche "isola" del grande arcipelago della pubblica amministrazione. Bisognerà infatti ancora aspettare che le società che intendono iscriversi all'elenco dei Certificatori facciano domanda all'AIPA, che ha due mesi di tempo per svolgere l'istruttoria e per accettare (o respingere) la domanda stessa. Pertanto nella migliore delle ipotesi solo a partire dal mese di settembre è presumibile che qualche società possa proporsi per un'attività di certificazione. Se i primi interlocutori di queste società saranno, come è probabile, alcune delle pubbliche amministrazioni locali, come naturale conclusione e perfezionamento delle attività sperimentali già avviate, bisognerà comunque aspettare alcuni mesi prima che decollino i nuovi servizi basati sulla firma digitale. Pertanto solo nel 2000 la firma digitale - e non c'è motivo di dubitare - comincerà a diventare nel nostro Paese una realtà concreta e misurabile.

    Ma torniamo al DPR 513/97 che stabilisce i criteri guida di tutta l'operazione. Si tratta di un testo ricco di innovazioni giuridiche, non scevro però da alcuni punti "delicati", che potrebbero creare problemi in relazione alla direttiva europea di prossima emanazione.

    • Un primo punto di riflessione trae la sua origine proprio nell'art. 15, comma 2, della Bassanini, che recita: "i criteri di applicazione del presente comma sono stabiliti, per la pubblica amministrazione e per i privati, con specifici regolamenti". Da questa norma sembra dedursi che il legislatore prevedeva due distinti regolamenti, uno per la pubblica amministrazione e l'altro per i privati. Invece il regolamento è uno solo, contenuto nel DPR 513, valido per tutti, pubblica amministrazione e privati, senza distinzione. Si può pertanto osservare che da una delega data dal Parlamento al Governo per la riforma della pubblica amministrazione è scaturito un provvedimento che innova profondamente anche i rapporti di diritto privato. Valga ad esempio l'art. 14 del DPR, relativo al trasferimento elettronico dei pagamenti, dove si legge che detto trasferimento va effettuato secondo le regole tecniche definite dal DPCM. Detto articolo è certamente appropriato quando si riferisce ai pagamenti tra due amministrazioni pubbliche oppure tra un privato e un'amministrazione pubblica, ma non se ne comprende la ragione quando il trasferimento elettronico dei pagamenti avviene tra due privati. Tra l'altro non è detto che cosa succede se il pagamento elettronico avviene - come di fatto accade quotidianamente - seguendo regole del tutto diverse.

    • Un altro punto che ha creato qualche perplessità è quello relativo all'istituzione di un elenco dei Certificatori, una specie di Albo: solo le società che ne sono incluse possono emettere certificati di firma qualunque sia il tipo di cliente, pubblica amministrazione oppure privato. Molto severe sono le condizioni richieste perché un ente privato possa essere incluso nell'elenco dei certificatori: avere forma di società per azioni, con capitale di almeno 12,5 miliardi, e possedere una struttura manageriale e tecnico-organizzativa di tutto rispetto (di fatto, almeno una ventina di persone dedicate, di cui una decina di elevato profilo tecnico, oltre ad un sistema informatico indipendente e super protetto contro ogni tipo di inconvenienti).

    • Lo stesso concetto di firma digitale, così come enunciato dal DPR, appare limitato:infatti, l'unica forma di firma digitale ammessa è quella nota tra gli addetti ai lavori come "firma forte", cioè quella con la quale viene contemporaneamente garantita l'autenticità del mittente e l'integrità del documento. La cosiddetta "firma debole", che garantirebbe solo l'autenticità del mittente, non è contemplata dal nostro ordinamento. Ciò può rappresentare un limite per le applicazioni, che non tutte hanno bisogno del sistema garantista - complesso e costoso - assicurato dalla certificazione prevista dal DPR (e dal relativo DPCM).

    • Infine manca del tutto il concetto di "sistema chiuso" (l'insieme dei dipendenti di un'azienda, quello formato da un ristretto gruppo di aziende, una classe di professionisti) all'interno del quale il buon senso farebbe pensare che esiste la possibilità di regolare in modo autonomo la firma digitale. È stato osservato però che il sistema chiuso non essendo stato previsto non è stato neanche vietato: in realtà la lettura combinata degli articoli 2 e 8 del DPR toglie ogni valore legale ai documenti informatici che non rispettino le rigide regole delle norme di legge. Pertanto, solo se questa condizione di legalità non è necessaria, i sistemi chiusi possono adottare in piena autonomia le regole che disciplinano la formazione, la sottoscrizione e la circolazione dei documenti informatici al loro interno.

    II. La firma digitale in Europa

    Solo la Germania, e non in tutti i Länder, ha adottato un sistema simile al nostro. Negli altri Paesi europei vi sono da registrare numerose realizzazioni ed esperimenti, soprattutto nei settori privati, mentre quasi ovunque il processo di normazione è sì iniziato ma in nessun Paese si è concluso. Probabilmente i vari governi stanno aspettando la pubblicazione degli orientamenti dell'Unione Europea, chiaramente espressi in una bozza di Direttiva che sta terminando l'iter burocratico e che probabilmente vedrà la luce per la fine dell'anno.

    Questa Direttiva, pur avendo una struttura formale alquanto complessa (il testo della Direttiva vera e propria è preceduta da ben 56 premesse, i rituali "considerando"), si distingue per la chiarezza e la precisione con la quale vengono enunciati i principi guida ai quali si dovranno ispirare i singoli Paesi nel predisporre le relative nonne. Questi principi si possono così riassumere:

    • Al centro del sistema vi è il libero mercato: l'ottica è centrata pertanto sui privati, non sulla pubblica amministrazione, sul commercio elettronico piuttosto che sulla circolazione di documenti tra uffici.

    • Viene enunciato il concetto di "sistema chiuso", all'interno del quale non sono applicabili le norme della Direttiva, a meno che non si voglia riconoscere valore legale alle transazioni.
    • Premesso che il documento dell'UE adotta la dizione "firma elettronica" invece di quella finora generalmente usata di "firma digitale", vengono individuati due tipi di firma: il primo, denominato semplicemente "firma elettronica", equivale a quella nota da noi come "firma digitale debole"; l'altro, denominato "firma elettronica avanzata" equivale alla nostra "firma digitale forte", che peraltro nella normativa ufficiale (DPR e DPCM sopra citati) viene chiamata "firma digitale" senza altre specificazioni.

    • L'attività di certificazione è libera: essa può essere esercitata da enti e da singoli privati senza necessità di preventiva autorizzazione; forme di controllo sono previste solo per il settore pubblico. Vengono però identificati due livelli di certificazione: la prima è relativa alla firma elettronica semplice, l'altra ("certificazione qualificata") si riferisce alla firma elettronica avanzata. Nel caso di Certificatori abilitati a rilasciare certificati qualificati, i singoli Stati possono stabilire forme di controllo sulla loro attività.

    • Entrambe le firme hanno valenza giuridica: i singoli Paesi dovranno emanare norme che, in caso di giudizio, accettino come prova la firma elettronica anche se in difetto di certificazione qualificata.

    E' evidente il contrasto concettuale tra la soluzione italiana e quella prevista dall'UE: ma ciò non deve stupire. Infatti nel nostro Paese la normativa parte dal Ministero per la Funzione Pubblica, in Europa invece la regia sta nella DG III, che ha il compito di promuovere il libero mercato.

    In realtà, all'atto pratico, il contrasto è più apparente che reale. Infatti l'attuale normativa italiana resterà praticamente inalterata per tutto il settore della pubblica amministrazione, mentre risulterà inapplicabile per il settore privato. Potrebbe però essere opportuno prevedere nel nostro ordinamento, anche per la pubblica amministrazione, la firma digitale debole che è certamente adeguata in un gran numero di applicazioni: ad esempio, nel caso di circolazione di documenti non particolarmente riservati in una delle reti chiuse dello Stato (RUPA o G-net) la firma digitale forte potrebbe essere eccessiva.

    Occorrerà una normativa ad hoc per il settore privato? Certamente sì, ma potrebbe essere opportuno non discostarsi troppo dallo schema del nostro DPR e relativo DPCM, ispirati a serietà tecnica e al rispetto degli interessi degli utenti. In quest'ottica, sarebbe certamente qualificante per tutti i Certificatori, anche per quelli che non puntano al mercato della pubblica amministrazione, iscriversi nello speciale elenco previsto dal DPR: un elemento di valutazione che il mercato non potrebbe non apprezzare.

    Va comunque sottolineato che in Italia, unico Paese insieme alla Germania, esiste ed è operativa una regolamentazione completa sulla firma digitale. In questi giorni si sta formando l'elenco dei Certificatori e da molti sintomi sembra che saranno numerosi: ciò dovrebbe favorire l'apertura e lo sviluppo del mercato e l'inizio di effettive realizzazioni nel settore pubblico e anche in quello privato. C'è d'augurarsi che questo avvenga presto, in modo tale da recepire le nuove direttive europee avendo il privilegio di aver già fatto delle esperienze concrete.

    (Ndr: ripreso dal mensile "Media Duemila" di Luglio-Agosto 1999)